Recent Research Developments

Index of Recent Research News

July 21, 2004

    Hybrid QM/MM study of thio effects in transphosphorylation reactions: the role of solvation

Insight into the mechanism of RNA catalysis holds promise in the design of new medical therapies that target genetic disorders as well as the development of new biotechnology.  One experimental method used to probe the mechanism of RNA enzymes is the measurement of so-called thio effects: the change in reaction rate that occurs upon substitution of key phosphoryl oxygen positions with sulfur.  The mechanstic interpretation of experimental thio effects, however, is often ambiguous. Theoretical methods offer a powerful tool to aid in the mechanistic interpretation of experimental thio effects and provide additional insight into the chemical reaction dynamics.

Recently, graduate student Brent Gregersen and Professor Darrin York of the Department of Chemistry, in collaboration with MSI research scholar Prof. Xabier Lopez of the University of the Basque Country, reported results of a series of activated dynamics simulations of thio effects on the transesterification reaction of an RNA sugar-phosphate model in solution (Fig. 1). 

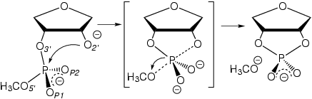
Schematic of transesterification reaction
Figure 1:  In-line dianionic mechanism of transphosphorylation.
The simulations employed a new combined quantum mechanical/molecular mechanical approach, with rigorous treatment of electrostatic interactions, to determine the reaction free energy profiles in solution (Fig. 2a). The change in solvent structure as a function of the reaction coordinate provides a detailed microscopic picture of the role of solvent in the reactions (Fig. 2b).  These results are of fundamental biological importance and have been published in a recent issue of the Journal of the American Chemical Society [JACS, 126, 7504 (2004)].   Results of this work can be compared to those contained in QCRNA, a new on-line database of high-level quantum chemical data for RNA catalysis developed by the York Group.
(a)
(b)
Free energy profiles Radial distribution functions
Figure 2:  (a)  Free energy profiles for native and thio-substituted transphosphorylation reactions. (b) Radial distribution of water oxygens (OW) around phosphorus (P) at the transition state.
* This page is updated every two weeks.
Next scheduled update: Aug. 6, 2004.

The University of Minnesota is an equal opportunity educator and employer.

Copyright 2004 by the Regents of the University of Minnesota. For questions or comments, contact the Chemistry Webmaster.